
云南省第四批支援湖北醫(yī)療隊隊員進駐前,在漢陽方艙醫(yī)院前互相加油鼓勁。
3月9日,一批“最美逆行者”被表彰為武漢體校方艙醫(yī)院優(yōu)秀醫(yī)護工作者,云南醫(yī)護人員位列其中。他們積極響應號召,舍小家顧大家,主動請纓,勇敢逆行,用實際行動詮釋了敬佑生命、救死扶傷、大愛無疆的職業(yè)精神和高尚品格。
2月23日,云南省第四批援助湖北醫(yī)療隊進駐武漢市漢陽體校方艙醫(yī)院,負責一層的168張床位。3月8日,漢陽方艙醫(yī)院最后1例確診病例轉(zhuǎn)院,標志著該院確診病例、疑似病例“清零”,進入“休艙”模式。(云報集團 全媒體記者熊強 陳飛)

云南省婦幼隊員送走最后一名康復患者 供圖
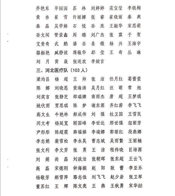
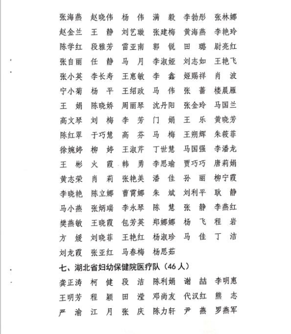
附:武漢體校方艙醫(yī)院優(yōu)秀醫(yī)護工作者名單





